
![]()
![]()
----------------------------------------------------------------------------------------------------------
![]()
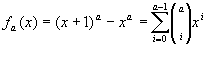
so, for a>0
![]()
![]()

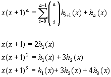
and so on.
Curiously enough,

----------------------------------------------------------------------------------------------------------
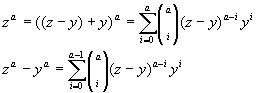
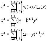
Take three integers x,y and z.
w=z-y-1, or the number of integers between y and z
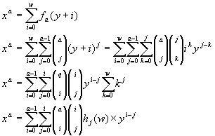
If
then
![]()
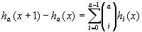
![]()
or

this leads to:
of course, we knew that last one, anyway

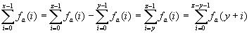
![]()